WALTER PENCHUK 2912 Sweet Brair St. Grapevine, TX 76051 IN THE Individually and On Behalf of All Others CIRCUIT COURT Similarly Situated, FOR Plaintiff, MONTGOMERY COUNTY, v. MARYLAND CYS INVESTMENTS, INC. CaseNo. \/YY9SS1 - 500 Totten Pond Road 6th Floor Waltham, Massachusetts 02451 Serve on the Resident Agent: JUN 14 2018 The Corporation Trust Incorporated 2405 York Road orerk of the Circuit CoMmdt Suite 201 Montgomery County, a Lutherville Timonium, Maryland 21093-2264, KEVIN E. GRANT, CFA 500 Totten Pond Road 6th Floor Waltham, Massachusetts 02451 TANYA S. BEDER 500 Totten Pond Road 6th Floor Waltham, Massachusetts 02451 KAREN HAMMOND, CFA 500 Totten Pond Road 6th Floor Waltham, Massachusetts 02451


 
STEPHEN P. JONAS 500 Totten Pond Road 6th Floor Waltham, Massachusetts 02451 RAYMOND A. REDLINGSHAFER, JR. 500 Totten Pond Road 6th Floor Waltham, Massachusetts 02451 DALE A. REISS 500 Totten Pond Road 6th Floor Waltham, Massachusetts 02451 JAMES A. STERN 500 Totten Pond Road 6th Floor Waltham, Massachusetts 02451 and DAVID A. TYSON, PHD., CFA 500 Totten Pond Road 6th Floor Waltham, Massachusetts 02451 Defendants. STOCKHOLDER CLASS ACTION COMPLAINT Plaintiff Walter Penchuk ("Plaintiff'), by his undersigned counsel, brings the following stockholder class action individually and behalf of all stockholders of CYS Investments, Inc. ("CYS" or the "Company") against CYS and the members of the Company's board of directors (collectively referred to as the "Board" or the "Individual Defendants," and, together with CYS, the "Defendants") for breaching their fiduciary duties in connection with the acquisition of CYS 2


 
by Two Harbors Investment Corp. ("Two Harbors") through a transaction as alleged in detail herein. The allegations in this complaint are based on information and belief, including investigation of counsel and a review ofpublicly-available information, except for Plaintiff's own acts, which are alleged on personal knowledge. NATURE AND SUMMARY OF THE ACTION 1. CYS is a publicly traded specialty finance company created with the objective of achieving consistent risk-adjusted investment income. The Company seeks to achieve this objective by investing, on a leveraged basis, in residential mortgage pass-through securities for which the principal and interest payments are guaranteed by the Federal National Mortgage Association, the Federal Home Loan Mortgage Corporation or the Government National Mortgage Association, and collateralized by single-family residential mortgage loans. The Company is headquartered in Waltham, Massachusetts. 2. On April 25, 2018, CYS, Two Harbors, and Eiger Merger Subsidiary LLC, a Maryland limited liability company and an indirect, wholly owned subsidiary of Two Harbors ("Merger Sub"), entered into an Agreement and Plan of Merger (the "Merger Agreement"), pursuant to which, subject to the terms and conditions therein, Merger Sub will be merged with and into CYS, with CYS continuing as the surviving corporation and as an indirect, wholly owned subsidiary of Two Harbors (the "Proposed Transaction"). 3. Pursuant to the terms of the Merger Agreement, each outstanding share of CYS commons stock will be converted into the right to receive from Two Harbors (a) a number of shares of Two Harbors common stock equal to the "Exchange Ratio," determined (to the nearest one-ten-thousandth) by dividing (i) CYS's adjusted book value per share, multiplied by 96.75%, by (ii) Two Harbors' adjusted book value per share, multiplied by 94.20%, each as calculated at a 3


 
time and pursuant to certain calculation principles set forth in the Merger Agreement, and (b) $15,000,000 divided by the sum of the number of shares of CYS common stock issued and outstanding immediately prior to the effective time of the Proposed Transaction (excluding any cancelled shares), including outstanding CYS restricted stock that will vest upon completion of the Proposed Transaction pursuant to. the Merger Agreement (less any shares surrendered for income tax purposes) (the "Merger Consideration"). 1 4. The Exchange Ratio is not "fixed,"2 thus, is subject to fluctuation until at least five business days prior to the special meetings of Two Harbors and CYS common stockholders. Had the Board negotiated a "fixed" exchange ratio, Plaintiff and CYS stockholders would have been provided protection against fluctuations in stock price. The deal is expected to close by the end of the third quarter of2018. 5. As described below, both the consideration CYS' stockholders stand to receive in connection with the Proposed Transaction and the process by which Defendants propose to consummate the Proposed Transaction are fundamentally unfair to Plaintiff and all other public stockholders of the Company. 6. First, the Merger Consideration is inadequate in light of CYS' strong historical financial performance and potential for significant future growth. For example, on October 25, 2017, CYS announced its Third Quarter 2017 Financial Results. Notably, the Company reported As of March 31, 2018, the adjusted book values per share for Two Harbors and CYS, on a pro forma basis, would have been $15.63 and $7.41, respectively, representing an illustrative Exchange Ratio of 0 .4872, with each share of CYS being exchanged for the right to receive 0 .4872 shares of Two Harbors (plus the Per Share Cash Consideration). 2 The actual Exchange Ratio for the Proposed Transaction will be based on each of the parties' adjusted book values per share as of the last day of the month immediately preceding the month in which the conditions to close the Proposed Transaction are reasonably expected to be satisfied (the "Determination Date"). 4


 
its September 30, 2017 book value per common share of $8.60, after declaring a $0.25 dividend per common share, up 3.5% from $8.31 at June 30, 2017, and GAAP net income (loss) available to common stockholders of $83.0 million, or $0.54 per diluted common share.3 As a result, CYS reported total stockholder return on common equity of 6.50%. 7. On February 7, 2018, Colorado Wealth Management Fund states that "CYS Investments is one of the best mortgage REITs" and, thanks to some of the best management in the sector, stockholders "can get a larger portion of the net interest income." 8. Subsequently, on February 15, 2018, the Company announced its Fourth Quarter 2017 Financial Results. CYS reported GAAP net income (loss) available to common stockholders of $160.4 million, as compared to $(4.4) million in 2016. 9. Second, the $7.75 implied value of the Per Share Stock Consideration is considerably below CYS' 52-week trading high of $8.92 per share, which represents a 13% discount. 10. Third, the members of the Board have further exacerbated their breaches of fiduciary duty by agreeing to lock up the Proposed Transaction with deal protection devices that preclude other bidders from making successful competing offers for the Company. For example, the Board agreed to: (i) a "no-solicitation" provision that prevents the Company from soliciting, initiating, knowingly encouraging or facilitating any inquiries or the making of any proposal or offer with respect to a competing proposal; (ii) an "information rights" provision that grants Two Harbors access to any rival bids, the material terms thereof, and the bidder's identify; (iii) a "matching rights" provision that provides Two Harbors with three (3) business days to match any 3 CYS Investments, Inc. Announces Third Quarter 2017 Financial Results (Oct. 25, 2017), available at https://seekingalpha.com/pr/1698015 8-cys-investments-inc-announces-third-quarter- 2017-financial-results. 5


 
competing proposal in the unlikely event that one emerges; and (iv) a termination fee of $43.2 million to be paid to Two Harbors if the Company's Board agrees to a competing proposal. These provisions conjunctively and improperly restrain the Board's ability to act with respect to investigating and pursuing superior proposals and alternatives to the Proposed Transaction. 11. On May 25, 2018, in order to convince CYS' public common stockhold.ers to vote in favor of the Proposed Transaction, Defendants authorized the filing of a materially incomplete and misleading Registration Statement on a Form S-4 (the "Proxy") with the SEC. 12. However, the Proxy contains materially incomplete and misleading information concerning: (i) financial projections for CYS, Two Harbors, and the Pro Forma Combined Entity; (ii) the valuation analyses conducted by the Company's financial advisors, Barclays Capital Inc. ("Barclays") and Credit Suisse Securities (USA) LLC ("Credit Suisse," and together with Barclays, the "CYS Advisors"), and Two Harbors' financial advisor, JMP Securities LLC ("JMP"); (iii) the background process leading up to the Proposed Transaction; and (iv) the potential conflicts of interest Barclays faced as a result of its historical dealings with CYS and Two Harbors. 13. In sum, Defendants failed to maximize stockholder value and to protect the interests of CYS stockholders. Instead, Defendants engaged in a process that was designed to benefit Two· Harbors and secure material personal benefits for themselves. Each of the Director Defendants has breached his fiduciary duties by favoring Two Harbors' or their own financial interests over those of CYS and its public, non-insider stockholders. As a result, Plaintiffs and the other public stockholders are receiving an unfair price in the Proposed Transaction and lack the necessary and material information to consider it. 14. In facilitating the Proposed Transaction for inadequate consideration and through 6


 
a flawed process, each of the Defendants breached and/or aided the other Defendants' breaches of their fiduqiary duties. As set forth below, instead of working to maximize stockholder value as required, Defendants agreed to hand over the Company and its future prospects to Two Harbors for a demonstrably unfair price. If Defendants are able to consummate the Proposed Transaction, CYS' public stockholders will not receive the true value of their investment. The Merger Consideration does not reflect CYS' intrinsic value or the value of the Company as the target of a full and fair sale process. 15. For these reasons and as set forth in detail herein, Plaintiffs seek to enjoin the Proposed Transaction, or, in the event the Proposed Transaction is consummated, recover damages resulting from the Individual Defendants' violations of their fiduciary duties. PARTIES 16. Plaintiff is, and has been at all times relevant hereto, a common stockholder of CYS. 17. Defendant CYS is a Maryland corporation with its principal executive offices located at 890 Winter Street, Suite 200 Waltham, Massachusetts 02451-1470. 18. Defendant Kevin E. Grant, CF A ("Grant") is, and has been at all relevant times, a director of CYS, and currently served as the Chief Executive Officer ("CEO") and President of the Company and Chairman of the Board. 19. Defendant Tanya S. Beder ("Beder") is, and has been at all relevant times, a director ofCYS. 20. Defendant Karen Hammond, CF A ("Hammond") is, and has been at all relevant times, a director of CYS. 21. Defendant Stephanie P. Jonas ("Jonas") is, and has been at all relevant times, a 7


 
director of CYS. 22. Defendant Raymond A. Redlingshafer, Jr. ("Redlingshafer") is, and has been at all relevant times, a director of CYS. 23. Defendant Dale A. Reiss ("Reiss") is, and has been at all relevant times, a director ofCYS. 24. Defendant James A. Stem ("Stem") is, and has been at all relevant times, a director ofCYS. 25. Defendant David A. Tyson, PhD., CF A (''Tyson") is, and has been at all relevant times, a director of CYS 26. The parties in paragraphs 18 through 25 are collectively referred to herein as the "Board" or the "Individual Defendants," and together with CYS, the "Defendants." JURISDICTION AND VENUE 27. The damages suffered and sought to be recovered by Plaintiff and the Class is an amount in excess of$75,000. 28. This Court has jurisdiction over this matter because each Defendant either conducts business in or maintains operations in Montgomery County, Maryland or is an individual who has suffici~nt minimum contacts with Montgomery County, Maryland so as to render the exercise of jurisdiction by the Maryland courts permissible under· traditional notions of fair play and substantial justice. 29. Venue is proper in this Court pursuant to Maryland Courts and Judicial Procedure § 6-201 (a) and (b) because CYS is organized and existing under the laws of the State of Maryland. THE FIDUCIARY DUTIES OF THE INDIVIDUAL DEFENDANTS 30. By reason of the Individual Defendants' positions with the Company as officers 8


 
and/or directors, they are in a fiduciary relationship with Plaintiff and the other public stockholders of CYS and, pursuant to Md. Code Ann., Corp. & Ass'ns § 2-405.l(c), owe CYS stockholders a duty of good faith, loyalty, and care. 31. By virtue of their positions as directors and/or officers of CYS, the Director Defendants, at all relevant times, had the power to control and influence CYS, did control and influence CYS, and caused CYS to engage in the practices complained of herein. 32. The duties of good faith, loyalty, and care require directors to act in the best interests of stockholders and maximize stockholder value. 33. To diligently comply with their fiduciary duties, the Individual Defendants may not take any action that: (a) adversely affects the value provided to the Company's stockholders; (b) favors themselves or discourages or inhibits alternative offers to purchase control of the corporation or its assets; ( c) adversely affects their duty to search and secure the best value reasonably available under the circumstances for the Company's stockholders; ( d) will provide the Individual Defendants with preferential treatment at the expense of, or separate from, the public stockholders; and/or (e) contractually prohibits the Individual Defendants from complying with or carrying out their fiduciary duties. 34. In accordance with their duties ofloyalty and good faith, the Individual Defendants are obligated to refrain from: (a) participating in any transaction where the Individual Defendants' loyalties are divided; (b) participating in any transaction where the Individual Defendants receive, or are entitled to receive, a personal financial benefit not equally shared by the public stockholders of the corporation; and/or (c) unjustly enriching themselves at the expense or to the detriment of the public stockholders. 35. Plaintiffs allege herein that the Individual Defendants, separately and together, in 9


 
connection with the Proposed Transaction, are knowingly or recklessly. violating their fiduciary duties, including their duties of good faith, loyalty, and care owed to the Company. 36. The duties of good faith, loyalty, and care also require directors to disclose all material information to stockholders when soliciting stockholder approval for a transaction. 37. Here, the Individual Defendants failed to disclose all the material facts concerning the Proposed Transaction and, particularly, the fairness of the price offered for the stockholders' equity interest. The Individual Defendants are knowingly or recklessly breaching their fiduciary duty of candor by failing to disclose all material information concerning the Proposed Transaction. CLASS ACTION ALLEGATIONS 38. Plaintiff brings this action on his own behalf and as a class action pursuant to Maryland Rule 2-231, on behalf of all holders of CYS common stock who are being and will be harmed by Defendants' actions described below (the ''Class"). Excluded from the Class are Defendants herein and any person, firm, trust, corporation, or other entity related to or affiliated with any of the Defendants. 39. This action is properly maintainable as a class action because: (a) The Class is so numerous thatjoinder of all members is impracticable. As of April 27, 2018, there were approximately 155.44 million shares of CYS common stock legally outstanding. The holders of these shares are believed to be geographically dispersed throughout the United States; (b) There are questions of law and fact which are common to the Class and which predominate over questions affecting any individual Class member. The common questions include, inter alia, the following: 1) Have the Individual Defendants breached their fiduciary duties owed to 10


 
Plaintiff and the other members of the Class in connection with the Proposed Transaction; 2) Have the Individual Defendants engaged in self-dealing in connection with the Proposed Transaction; 3) Have the Individual Defendants unjustly enriched themselves and other insiders or affiliates of the Company in connection with the Proposed Transaction; 4) Have the Individual Defendants impeded or erected barriers to discourage other strategic alternatives including potential third party offers for the Company or its assets; 5) Will Plaintiff and the other members of the Class be irreparably harmed if the transactions complained of herein are consummated; and 6) Is the Class entitled to injunctive relief or damages as a result of Defendants' wrongful conduct. (c) Plaintiff is committed to prosecuting this action and has retained competent counsel experienced in litigation of this nature. Plaintiff's claims are typical of the claims of the other Class members and Plaintiff has the same interests as the other members of the Class. Accordingly, Plaintiff is an adequate representative for the Class and will fairly and adequately protect the interests of the Class; (d) The prosecution of separate actions by individual members ofthe Class would create the risk of inconsistent or varying adjudications with respect to individual members of the Class, which would establish incompatible 11


 
standards of conduct for Defendants, or adjudications with respect to individual members of the Class which would, as a practical matter, be dispositive of the interests of the other members not parties to the adjudications or substantially impair or impede their ability to protect their interests; and (e) Defendants have acted on grounds generally applicable to the Class with respect to the matters complained of herein, thereby making appropriate the relief sought herein with respect to the Class as a whole. SUBSTANTIVE ALLEGATOINS I. Summary of the Proposed Transaction 40. On April 26, 2018, CYS and Two Harbors issued a joint press release announcing the Proposed Transaction. The press release stated, in relevant part: Two Harbors Investment Corp. Announces Definitive Agreement to Acquire CVS Investments, Inc. New York, April 26, 2018 -Two Harbors Investment Corp. (NYSE: TWO) (''Two Harbors"), a leading hybrid mortgage real estate investment trust ("REIT"), and CYS Investments, Inc. (NYSE: CYS) ("CYS"), an Agency mortgage REIT, announced today that they have entered into a definitive merger agreement under which Two Harbors will acquire CYS. In connection with the merger, CYS stockholders will exchange their shares of CYS common stock for newly issued shares of Two Harbors common stock as well as aggregate cash consideration of $15,000,000. The number of Two Harbors shares issued will be based on an exchange ratio to be determined by dividing 96.75% of CYS' adjusted book value per share by 94.20% of Two Harbors' adjusted book value per share. For illustrative purposes, assuming the merger occurs and the exchange ratio was based on March 31, 2018 adjusted book value per share, CYS stockholders would receive $7. 79 of combined cash and stock consideration per share of CYS common stock owned, which represents a premium of approximately 17. 7% over the CYS closing price per share on April 25, 2018. The actual exchange ratio for the merger will be publicly announced at least five business days prior to the required stockholder votes on the merger. 12


 
Two Harbors and CYS will hold a joint conference call at 9:00 A.M. Eastern Time on April 26, 2018 to discuss the merger. To participate in the teleconference, please call toll-free (877) 868-1835, Conference Code 7197703, (or (914) 495-8581 for international callers) approximately 10 minutes prior to the above start time. You may also listen to the teleconference live via the Internet and review related materials at www.twoharborsinvestment.com in the Investor Relations section under the Events and Presentations link. Anticipated Benefits to Two Harbors Stockholders from the Merger • Additional capital supports continued growth in target assets: A larger capital base will support the continued growth across Two Harbors' target assets, and positions Two Harbors to take advantage of market opportunities as they arise. • Improved cost structure: Expect that the combination of Two Harbors and CYS will create cost efficiencies and decrease Two ·Harbors' other operating expense ratio by 30 to 40 basis points. Additionally PRCM Advisers' agreement to reduce its base management fee on the new CYS equity will further enhance operating cost efficiencies in the year following the close of the transaction. • Expect to maintain $0.47 per share quarterly dividend: Following the close of the transaction, Two Harbors anticipates that its current quarterly dividend of $0.47 will be sustainable through 2018, subject to market conditions and the discretion and approval of Two Harbors' Board of Directors. • Enhanced scale and liquidity with potential for premium valuation: With a pro forma equity base of nearly $5.0 billion, Two Harbors stockholders will benefit from the scale, liquidity and capital alternatives of a larger combined company. Additionally, larger capitalized mortgage REITs have historically carried premium valuations. • Anticipate improved Agency spreads in 2018: If so, Two Harbors believes this deal will be accretive to earnings and endorses the capital raising attendant to this transaction. Anticipated Benefits to CYS Stockholders from the Merger • Enhanced scale and liquidity: CYS stockholders will benefit from increased operating scale, liquidity and capital alternatives available to a larger combined company. • Meaningful premium to CYS stockholders: Based on March 31, 2018 13


 
adjusted book values per share, CYS stockholders would receive $7.79 of combined cash and stock consideration per share of CYS common stock, which represents a premium of approximately 17. 7% over the CYS closing price per share on April 25, 2018. • Benefit from a more diversified business model: Two Harbors' hybrid business model is positioned to withstand periods of market volatility and is comprised of a mix of asset classes and a platform that is challenging to replicate. Two Harbors' portfolio includes a Rates strategy comprised of Agency RMBS paired with mortgage servicing rights ("MSR"), and a Credit strategy, comprised primarily of deeply discounted, legacy non­ Agency RMBS. • Strong stewards of capital: Two Harbors has a history of being strong stewards of its stockholders' capital. Since 2009, Two Harbors has outperformed its peer group and has grown its book value with less volatility. Additionally, Two Harbors has a stock repurchase program in place to support its stock. About the Merger Upon the closing of the merger, CYS stockholders will exchange their shares of CYS common stock for newly issued shares of Two Harbors common stock as well as aggregate cash consideration of $15,000,000, payable to CYS stockholders on a pro rata basis. The number of Two Harbors shares to be received by CYS stockholders will be based on an exchange ratio to be determined by dividing 96.75% of the CYS adjusted book value per share by 94.20% of the Two Harbors adjusted book value per share. As defined in the Merger Agreement, adjusted book value per share for each company means (i) such company's total consolidated common stockholders' equity after giving pro forma effect to any dividends or other distributions for which the record date is after the exchange ratio determination date but prior to the closing of the merger and as modified for potential transaction-related adjustments, divided by (ii) each respective company's number of shares of common stock issued and outstanding, including shares issuable upon the vesting of restricted stock. As of March 31, 2018, the adjusted book value per share for Two Harbors and CYS, on a proforma basis, would have been $15.63 and $7.41, respectively, representing an exchange ratio of 0.4872x, with each share of CYS being exchanged for 0.4872 shares of Two Harbors. For illustrative purposes, under a pro forma exchange ratio, assuming the merger occurs and the exchange ratio was calculated as of March 31, 2018, CYS stockholders would receive approximately 75.7 million Two Harbors shares (representing approximately 30% of the Two Harbors' total outstanding shares immediately following the 14


 
merger), which, in combination with the cash consideration of $15,000,000, would value CYS at approximately $7.79 per share of common stock. This valuation represents a premium of approximately 17. 7% above the closing price per share of CYS common stock on the New York Stock Exchange on April 25, 2018. The actual exchange ratio for the merger will be publicly announced at least five business days prior to the required stockholder votes on the merger. In connection with the merger, PRCM Advisers LLC, Two Harbors' external manager, a subsidiary of Pine River Capital Management L.P ., has agreed to reduce the base management fee it charges Two Harbors with respect to the additional equity under management resulting from the merger from 1.5% of Stockholders' Equity on an annualized basis to 0.75% through the first anniversary of the closing of the merger. PRCM Advisers LLC will also make a one-time downward adjustment of $15,000,000 to the management fees payable by Two Harbors for the quarter in which the merger closes. PRCM Advisers has also agreed to a post-closing downward adjustment of up to $3.3 million to reimburse Two Harbors for certain transaction related expenses. In addition to the above consideration, Two Harbors would assume the existing notional $75 million in CYS 7.75% Series A cumulative redeemable preferred stock and $200 million in CYS 7.50% Series B cumulative redeemable preferred stock. Following the closing of the transaction, all senior management positions will continue to be led by Two Harbors' personnel and Two Harbors Board of Directors will be expanded to include two additional independent directors from CYS Investments' current board, James Stem and Karen Hammond. The completion of the merger is subject to the satisfaction of certain customary conditions, and is subject to the approval of the stockholders of both Two Harbors and CYS. The companies expect the transaction to close in the third quarter of2018. "We are pleased to announce the acquisition of CYS Investments, which we believe represents a unique opportunity to create value for our stockholders," stated Thomas Siering, Two Harbors' President and Chief Executive Officer. "This transaction offers Two Harbors stockholders the opportunity to benefit from additional capital, supporting continued growth in our target assets, as well as an improved cost structure. The combination of the two companies also supports the potential for the premium valuation of a pro forma Two Harbors." "We are excited about the opportunity to merge with Two Harbors and believe that our stockholders will benefit from the increased scale, diversification and liquidity of the combined companies," stated Kevin Grant, CYS Investments' 15


 
Chairman, Chief Executive Officer, President and Chief Investment Officer. "Two Harbors has a long history of being strong stewards of capital and we believe this transaction should enhance value for our stockholders over the long-term." JMP Securities LLC is serving as financial advisor, and Sidley Austin LLP is serving as legal advisor to Two Harbors. Barclays Capital Inc. and Credit Suisse Securities (USA) LLC are serving as financial advisors, and Vinson & Elkins LLP is serving as legal advisor to CYS.4 II. The Unfair Deal Protection Provisions Deter Superior Offers 41. Furthermore, and in violation of the duty to maximize stockholder value, the Board agreed to terms in the Merger Agreement that are designed to ensure that the Proposed Transaction is consummated without interference from alternative bidders. 42. For example, the Merger Agreement includes a "no solicitation" provision which prohibits the Company or the Defendants from taking any affirmative action to comply with their fiduciary duties to obtain the best price possible under the circumstances. This provision states that the Company and the Defendants must immediately cease any discussions or negotiations concerning a superior proposal with any potential suitors, and may not solicit, initiate, encourage, or facilitate any alternative acquisition proposal. 43. Furthermore, the Merger Agreement grants Two Harbors recurring and unlimited matching rights, which provides Two Harbors with: (i) unfettered access to confidential, non- public information about competing proposals (i.e., the material terms thereof and the bidder's identify) from third parties which it can use to prepare a matching bid; and (ii) three (3) business days to negotiate with CYS, amend the terms of the Merger Agreement, and make a counter-offer in the event a superior offer is received. 4 CYS Investments, Inc., Current Report (Form 8-K), at Exhibit 99.1 (Joint Press release, dated April 26, 2018) (April 26, 2018). 16


 
44. Additionally, the Merger Agreement provides that CYS must pay Two Harbors a termination fee of $43.2 million in the event the Company elects to terminate the Merger Agreement to pursue a superior proposal. 45. Ultimately, these deal protection provisions restrain the Board's ability to solicit or engage in negotiations with any third party regarding a potentially superior proposal to acquire the Company, and operate conjunctively to ensure that a superior bidder will not emerge. III. The False and Misleading Proxy 46. On May 25, 2018, Two Harbors filed the Proxy. The Proxy was intended to convince ~YS stockholders to vote in favor of the Proposed Transaction. The Proxy denies the Company's stockholders material information concerning the financial and procedural fairness of the Proposed Transaction. Without such information, CYS stockholders cannot make a fully informed decision about whether to vote in favor of the Proposed Transaction Material Omissions Concerning CYS' Financial Projections 47. First, the Proxy provides one non-GAAP (generally accepted accounting principles) financial metric for CYS-Core Earnings Per Common Share-but fails to disclose the line-item projections for the specific metrics, adjustments, and/or inputs that are used to calculate the Non-GAAP financial measure or provide a reconciliation of the Non-GAAP measures to the most directly comparable GAAP financial measure, such as Net Income. See Proxy at 113-114. 48. The Proxy defines Core Earnings Per Common Share as "net income (loss) available to common stockholders excluding net realized and unrealized gain (loss) on investments and derivative instruments," but fails to disclose CYS' projected: (i) net income (loss); and (ii) net realized and unrealized gain (loss) on investments and derivative instruments. See Proxy at 113- 17


 
114. 49. The failure to disclose the line-item projections that compose CYS' Core Earnings Per Common Share renders the Proxy materially incomplete and misleading because non-GAAP numbers are inherently misleading. Contrary to GAAP metrics, non-GAAP figures are not standardized and, consequently, can be manipulated and easily taken out of context. Because non- GAAP measures, such as Core Earnings Per Common Share, can be measured in different ways, it is inherently misleading when it is no,t taken in context with GAAP figures, such as Net Income or Operating Income, or reconciled alongside its line-items inputs. 50. In fact, page 114 of the Proxy concedes that non-GAAP metrics are inherently misleading for this exact reason: Core earnings represents a non-GAAP financial measure ... In addition, CYS's presentation of core earnings may not be comparable to similarly-titled measures used by other companies, which may employ different calculations. As a result, core earnings should not be considered a substitute for CYS's GAAP net income (loss), as a measure of its fmancial performance, or any measure of CYS's liquidity under GAAP. 51. Furthermore, the Proxy entirely fails to disclose CYS' projected dividends and cash flows for the last three quarters of the calendar year ending December 31, 2018 through the calendar year ending December 31, 2020, despite the fact that they existed and were provided to and relied upon by the CYS Advisors when rendering their fairness opinions. See Proxy at 98-99, 107. Material Omissions Concerning Two Harbors' Financial Projections 52. Second, the Proxy also fails to disclose the line-item projections that composeTwo Harbors' Core Earnings Per Common Share. See Proxy at 111. However, the Proxy defmes Two Harbors' Core Earnings Per Common Share as: [C]omprehensive (loss) income attributable to common stockholders, excluding 18


 
"realized and unrealized gains and losses" (impairment losses, realized and unrealized gains and losses on the aggregate portfolio, resertre expense for representation and warranty obligations on mortgage servicing rights and non­ cash compensation expense related to restricted common stock). As defined, Core Earnings includes interest income or expense and premium income or loss on derivative instruments and servicing income, net of estimated amortization on mortgage servicing rights. Dollar roll income is the economic equivalent to holding and financing Agency residential mortgage-backed securities using short-term repurchase agreements. Id However, the Proxy fails to disclose Two Harbors' projected: (i) comprehensive (loss) income attributable to common stockholders; (ii) realized and unrealized gains and losses; (iii) interest income or expense; and (iv) premium income or loss on derivative instruments and servicing income, net of estimated amortization on mortgage servicing rights. 53. Consequently, the Proxy demonstrates that there are considerable differences between how CYS and Two Harbors calculate the same non-GAAP financial metric-Core Earnings Per Common Share-and, as a result, how non-GAAP metrics can be inherently misleading and the failure to provide the line items that compose each company's respective calculation render the Proxy materially incomplete and misleading. 54. In addition, the .Proxy entirely fails to disclose Two Harbors' projected dividends and cash flows for the last three quarters of the calendar year ending December 31, 2018 through the calendar year ending December 31, 2020, despite the fact that they existed and were provided to and relied upon by the CYS Advisors when rendering their fairness opinions. See Proxy at 98- 99, 107. 55. Additionally, the failure to provide CYS stockholders materially complete and accurate financial projections for Two Harbors is particularly important in light of the fact that the Board has asked CYS stockholders to approve the Proposed Transaction, pursuant to which the Merger Consideration will be composed of stock in another company: Two Harbors. Accordingly, 19


 
materially complete and accurate Two Harbors' projections must be provided to CYS stock.holders for them to be able to evaluate the future prospects of Two Harbors and in order to assess the fairness of the Merger Consideration. 56. By electing to disclose some of CYS and Two Harbors' projections, Defendants' obligated themselves to speak the whole truth regarding CYS and Two Harbors' projections by providing complete and accurate projections because if a proxy discloses financial projections and valuation information, such projections must be complete and accurate, rather than cherry­ picking favorable financial metrics to disclose. The question here is not the duty to speak, but liability for not having spoken enough. With regard to future events, uncertain figures, and other so-called soft information, a company may choose silence or speech elaborated by the factual basis as then known-but it may not choose half-truths. Material Omissions Concerning Pro Forma Financial Projections 57. Third, the Proxy wholly fails to disclose the Pro Forma Projections, in particular the projected dividends and cash flows for the last three quarters of the calendar year ending December 31, 2018 through the calendar year ending December 31, 2020, despite the fact that that they that they existed and were provided to and relied upon by the CYS Advisors and JMP when rendering their respective fairness opinions. See Proxy at 92-101, 107. Such information is material to CYS stock.holders in light of the fact that they are being asked to vote on the Proposed Transaction, which, if completed, would result in former CYS common stock.holders only owning in the aggregate approximately 30% of the post-close, combined business. Material Omissions Concerning the CYS Advisors' Financial Analyses 58. With respect to Barclays' Dividend Discount Analysis for CYS, the Proxy fails to disclose the fundamental input underlying the entire analysis: the estimated dividends expected to 20


 
be paid by CYS stockholders for the calendar year ending December 31, 2018 through the calendar year ending December 31, 2020. See Proxy at 98. 59. Likewise, with respect to Barclays' Dividend Discount Analysis for Two Harbors, the Proxy fails to disclose the fundamental input underlying the analysis: the estimated dividends expected to be paid by Pro Forma Two Harbors during the last two quarters of the calendar year ending December 31, 2018 through the calendar year ending December 31, 2020 (based on the Pro Forma Projections). Id 60. Similarly, with respect to Credit Suisse's Dividend Discount Analysis for CYS, the Proxy fails to disclose the cash flows that CYS was forecasted to generate during the last three quarters for the fiscal year ending December 31, 2018 through the full fiscal year ending December 31, 2020 based on the CYS Projections. See Proxy at 107. 61. In addition, with respect to Credit Suisse's Dividend Discount Analysis for Two Harbors, the Proxy fails to disclose the cash flows that Two Harbors was forecasted to generate during the last three quarters for the fiscal year ending December 31, 2018 through the full fiscal year ending December 31, 2020 based on the Two Harbors Projections. See Proxy at 107. 62. CYS and Two Harbors' projected dividends and cash flows are material to CYS' common stockholders, and their omission renders the summary of each of the Dividend Discount Analysis conducted by the CYS Advisors, for both CYS and Two Harbors, materially incomplete and misleading. As a highly-respected professor explained in one ofthe most thorough law review articles regarding the fundamental flaws with the valuation analyses bankers perform in support of fairness opinions, "there is [] an element of subjectivity present in the choice and application of these [valuation] methods" and that the banker's key choices can have a substantial "effect the outcome of a valuation." Steven M. Davidoff, Fairness Opinions, 55 Am. U.L. Rev. 1557, 1573- 21


 
74 (2006). Such choices include "the appropriate discount rate, and the terminal value ... " Id. With respect to a discounted cash flow analysis, Professor Davidoff explains: There is substantial leeway to determine each of these, and any change can markedly affect the discounted cash flow value. For example, a change in the discount rate by one percent on a stream of cash flows in the billions of dollars can change the discounted cash flow value by tens if not hundreds of millions of dollars .... This issue arises not only with a discounted cash flow analysis, but with each ofthe other valuation techniques. This dazzling variability makes it difficult to rely, compare, or analyze the valuations underlying a fairness opinion unless full disclosure is made of the various inputs in the valuation process, the weight assigned for each, and the rationale underlying these choices. The substantial discretion and lack of guidelines and standards also makes the process vulnerable to manipulation to arrive at the "right" answer for fairness. This raises a further dilemma in light of the conflicted nature of the investment banks who often provide these opinions. Id. at 1577-78. 63. Similar to a discounted cash flow analysis, where the value of a business is based on its projected future free cash flows and then discounted to their present value estimate, the CYS Advisors' Dividend Discount Analysis evaluated the present value of CYS and Two Harbors' projected dividends and cash flows. However, just as withholding a company's unlevered free cash flows in a discounted cash flow analysis constitutes a material omission, the Proxy failed to disclose CYS and Two Harbors projected dividends and cash flows. 64. With respect to Barclays' Selected Comparable Company Analysis, the Proxy fails to disclose the individual multiples Barclays utilized for each of the companies considered in the analysis. 'See Proxy at 95-97. A fair summary of the Selected Comparable Company Analysis requires the disclosure of the individual multiples for each company utilized; providing the top quartile, median, and bottom quartile multiples that a banker applied to render CYS and Two Harbors' implied price per share ranges is insufficient, as the Company's stockholders are unable to assess whether the banker applied the appropriate multiples, or, instead, applied unreasonably 22


 
low multiples in order to drive down the implied valuation of the Company. Accordingly, the omission of the individual multiples renders the summary of these analyses set forth on pages 95 through 97 of the Proxy materially incomplete and misleading. 65. Similarly, the Proxy fails to disclose the individual multiples evaluated in Barclays' Selected Precedent Transactions Analysis and Credit Suisse' s Selected Public Companies Analysis and Selected Precedent Transaction Analysis. See Proxy at 97, 103-106. For the same reasons discussed above, the omission of the individual multiples renders the summary of each analysis and its implied per share equity value range misleading. 66. With respect to Barclays' Historical Trading analysis, the Proxy fails to disclose the performance of the following companies' stock performance: Armour Residential REIT Inc.; Annaly Capital Management, Inc.; AGNC Investment Corp.; Capstead Mortgage Corporation; and Anworth Mortgage Asset Corporation (collectively, the "Index"). See Proxy at 99. Similar to reasons mentioned above, the failure to disclose the individual percentages for the Index companies renders the summary of Barclays' Historical Trading analysis materially incomplete and misleading, as CYS stockholders are unable to assess whether the banker considered the appropriate companies, or, instead, evaluated certain companies in order to make the Merger Consideration appear more favorable than it actually is. 67. With respect to Barclays' Analyst Target Prices analysis, the Proxy fails to disclose how many analysts were evaluated, in addition to their identities and individual price targets for CYS and Two Harbors. See Proxy at 99. A fair summary of this analysis requires disclosure of this information. Merely providing the range of the analysts' price targets renders the illustrative range of price targets and the implied premium for such price targets is insufficient, as CYS stockholders unable to assess whether Barclays utilized credible research analysts or, instead, 23


 
referenced certain analysts in order to intentionally manipulate the range of price targets and the implied premium for such price targets and, as a result, make the Merger Consideration appear more favorable. The omission of the identities of each analyst and their individual price targets renders the summary of Barclays' Analyst Target Prices materially incomplete and misleading. 68. Similarly, with respect to Credit Suisse's Certain Additional Information section, the Proxy fails to disclose how many analysts were evaluated, in addition to their identities and individual price targets for CYS and Two Harbors. See Proxy at 108. For the same reasons mentioned above, the omission of this information renders Credit Suisse's Certain Additional Information materially misleading and incomplete. Material Omissions Concerning the JMP's Financial Analyses 69. With respect to JMP's Dividend Discount Analysis for CYS, the Proxy fails to disclose the fundamental input underlying the entire analysis: the projected dividends that CYS was forecasted to generate from March 31, 2018 through calendar year 2020. See Proxy at 90-91. For the same reasons mentioned in paragraphs 58 through 63, the omission of CYS' projected dividends renders the summary of JMP's Dividend Discount Analysis materially incomplete and misleading. 70. The Proxy also fails to disclose the individual multiples evaluated in JMP's Selected Public Companies Comparable Data, Premiums Paid Analysis, Selected Public Companies Analysis, and Selected Precedent M&A Transactions Analysis. See Proxy at 87-90. For the same reasons discussed in paragraphs 64 through 65, the omission of the individual multiples renders the summary of each analysis and its implied per share equity value range misleading. 71. Additionally, with respect to JMP's Other Information section, the Proxy fails to 24


 
disclose how many analysts JMP evaluated, in addition to their identities and individual price targets for CYS. See Proxy at 91. For the same reasons mentioned in paragraph 67, the omission of this information renders JMP's Other Information section materially misleading and · incomplete. Material Omissions Concerning Barclay's Potential Conflict ofInterest 72. The Proxy also fails to disclose or misstate material information relating that materially misleads stockholders as to the potential conflicts of interest faced by the Board and Barclays. 73. In particular, the Proxy discloses information concerning the past dealings between Barclays, CYS and Two Harbors, but fails to disclose how much compensation Barclays received or expects to receive from any work it has performed for CYS and Two Harbors in the past. See Proxy at 100. Such information is material to CYS stockholders. 7 4. Indeed, it is imperative for stockholders to be able to understand what factors might influence the financial advisor's analytical efforts. A financial advisor's own proprietary financial interest in a proposed merger must be carefully considered in assessing how much credence to give its analysis. A reasonable stockholder would want to know what important economic motivations that the advisor, employed by a board to assess the fairness of the merger to the stockholders, might have. Especially when that motivation could rationally lead the advisor to favor a deal at a less than optimal price, because the procession of a deal was more important to him, given his overall economic interest, than only approving a deal at truly fair price to stockholders. The failure to quantify Barclays' previous compensation received in connection with the work is has performed for CYS and Two Harbors renders the Proxy materially incomplete and misleading. 25


 
Material Omissions Concerning the Background ofthe Proposed Transaction 75. With respect to the Background of the Merger, the Proxy states that CYS entered into non-disclosure agreements with "seven of the eight potential bidders" (the "Interested Parties") in March 2018 which contained "customary standstill provisions." See Proxy at 68. However, the Proxy fails to disclose whether such standstill provision contained a "don't ask don't waive" ("DADW") provision, including whether those provisions had fallen away upon the execution of the Merger Agreement or were still in effect. The failure to disclose the existence of DADW provisions creates the false impression that any of the Interested Parties who signed non- disclosure agreements could have made a superior proposal. But that is not true. If those non- disclosure agreements contained DADW provisions, the Interested Parties could only make a superior proposal by breaching their respective agreement, because in order to make the superior proposal, they would have to ask for a waiver, either directly or indirectly. Thus, the omission of this information renders the references to the non-disclosure agreements in the Proxy materially incomplete and therefore misleading as any reasonable stockholder would deem the fact that the most likely potential topping bidders in the marketplace may be precluded from making a superior offer to significantly alter the total mix of information 76. Finally, on February 13, 2018, the Board formed a special committee (the "Special Committee") that was comprised of three individuals-Stem, Hammond, and Beder-to avoid the possibility of any conflicts of interests that could arise during the sales process. Moreover, the CYS Board: delegated to the CYS Special Committee the power and authority to, among other things, (i) review, evaluate and, if advisable, negotiate the terms and provisions of any transaction involving a change of control of CYS, (ii) determine whether any such potential transaction is fair to, and in the best interests of, CYS and its stockholders, and (iii) make a recommendation to the CYS Board to approve or disapprove of any such proposed transaction. No 26


 
conflict with Mr. Grant materialized during the process and the Special Committee functioned as a transaction committee throughout the process. See Proxy at 66. 77. Concerningly, the Proxy later states: The Merger Agreement provides that, upon and immediately after the effective time of the Merger, the board of directors of the Combined Company will be increased to eleven members and will include all the current nine directors of the Two Harbors Board and two additional independent directors from the CYS Board: James A. Stern and Karen Hammond. See Proxy at 114 (emphasis added). 78. However, the Background of the Merger section of the Proxy fails to disclose information concerning when Stem and Hammond were being considered for post-close employment on the combined entity's board of directors. This is particularly troublesome in light of the fact that both Stem and Hammond served on the Special Committee, which was charged with the specific responsibility to evaluate and negotiate any potential change of control transaction affecting CYS and to ensure that such potential transaction was in the best interests of CYS and CYS' stockholders. 79. This information is vital to CYS' stockholders so that they may understand the conflicts of interest facing management, the Board, and Special Committee. The timing and nature of post-close employment provides key insight concerning motivations that would prevent fiduciaries from acting solely in the best interests of the Company's stockholders. If the Board negotiated for their own interests ahead of stockholder compensation, stockholders would certainly find such information material. 80. In sum, the Board failed to obtain reasonable consideration for CYS' stockholders, agreed to onerous deal protection provisions that will likely prevent the emergence of a superior offer, and relied upon advice from a Special Committee comprised of two individuals that may 27


 
have been incapable of impartially analyzing the fairness of the Proposed Transaction to the Company's stockholders. The Board has thus prevented Plaintiff and the Class from being adequately compensated for their CYS shares. Accordingly, Plaintiff seeks injunctive and other equitable relief to prevent the irreparable injury that Company stockholders will continue to suffer absent judicial intervention. COUNT I 81. Plaintiff repeats and realleges each and every allegation above as if set forth in full herein. 82. The Individual Defendants owe the Class the fiduciary duties of care, loyalty, good faith, candor, and maximization of stockholder value. By virtue of their positions as directors and/or officers of the Company and/or their exercise of control and ownership over the business and corporate affairs of the Company, the Individual Defendants have, and at all relevant times had, the power to control and influence, and did control and influence and cause the Company to engage in the practice complained of herein. Each of the Individual Defendants was required to (i) use their ability to control and manage the Company in a fair, just, and equitable manner and (ii) act in furtherance of the best interest of CYS and its stockholders and not their own. 83. The Individual Defendants are obligated, in accordance with their fiduciary duties as set forth by Md. Code Ann., Corp. & Ass'ns § 2-405.l(c), to ensure that any sale of the Company is accomplished by a process that will maximize the consideration CYS' stockholders receive. 84. By reason of the foregoing acts, practices, and courses of conduct, the Individual Defendants have failed to exercise and fulfill their fiduciary obligations toward Plaintiff and the other members of the Class. The Individual Defendants failed to take reasonable steps to obtain and/or ensure that CYS stockholders receive adequate consideration for their shares, agreed to 28


 
restrictive deal protection devices that deter other suitors from making a superior bid for the Company, relied upon a conflicted Special Committee to evaluate the fairness of the Proposed Transaction to CYS' stockholders, and likely placed their personal financial interests ahead of those of the Company's stockholders. 85. As a result of the actions by the Individual Defendants, Plaintiff and the Class have been, and will be, irreparably harmed in that they have not, and will not, receive their fair portion of the value of CYS' assets and businesses, and will be prevented from obtaining a fair price for their common stock. 86. Unless enjoined by this Court, the Individual Defendants will continue to breach their fiduciary duties owed to Plaintiff and the members of the Class and may consummate the Proposed Transaction to the disadvantage of CYS' public stockholders. 87. Plaintiff and the Class have no adequate remedy at law. Only through the exercise of this Court's equitable powers can Plaintiff and the Class be fully protected from the immediate and irreparable injury that Defendants' actions threaten to inflict. COUNT II On Behalf of Plaintiff and the Class Against All Defendants For Declaratory Relief Pursuant to Courts and Judicial Proceedings Article of the Annotated Code of Maryland § 3-401, et seq. 88. Plaintiff repeats and realleges each allegation above as if set forth in full herein. 89. Defendants breached their fiduciary duties owed directly to Plaintiff and the Class in connection with the Proposed Transaction, and are liable therefore. 90. As a result of Defendants' conduct as herein alleged, Plaintiff and the other members of the Class have suffered and/or will, in the future, suffer damages and harm, including harm for which they have no adequate remedy at law. 29


 
91. Pursuant to Courts and Judicial Proceedings Article of the Annotated Code of Maryland§ 3-412, Plaintiff demands a declaration that: (a) the stockholders should not be asked to vote on the Proposed Transaction, and that such vote should be enjoined; (b) the Defendants and each of them have breached their fiduciary duties owed directly to Plaintiff and the Class; (c) the Proposed Transaction was entered into in breach of Individual Defendants' common law fiduciary duties owed directly to Plaintiff and the Class and was therefore unlawful and unenforceable, and that the Merger Agreement and any other agreements in connection with, or in furtherance of, the Proposed Transaction should be rescinded and invalidated; ( d) the Proposed Transaction, the Merger Agreement and/or related transactions contemplated thereby, should be rescinded and the parties restored to their original position; and (e) Plaintiff and the stockholders should be granted such other and further relief as the nature of their cause may require. PRAYER FOR RELIEF WHEREFORE, Plaintiff demands judgment against Defendants jointly and severally, as follows: A. Declaring this action to be a Class Action and certifying Plaintiff as Class representative and his counsel as Class counsel; B. Enjoining Defendants, their agents, counsel, employees, and all persons acting in concert with them from consummating the Proposed Transaction; C. Enjoining the Merger Agreement as invalid and unenforceable, or in the alternative, amending, or enjoining the deal protection provisions as necessary to ensure a full an and fair sales process for the benefit of the Class; D. Rescinding, to the extent already implemented, the Proposed Transaction or any of the terms thereof, or granting Plaintiff and the Class rescissory damages; 30


 
E. Directing Defendants to account to Plaintiff and the Class for all damages suffered as a result 1~f the Individual Defendants' wrongdoing; F. Imposition of a constructive trust, in favor of Plaintiff and members of the Class, upon any benefits improperly received by Defendants as a result of their wrongful conduct; G. Awarding Plaintiff the costs and disbursements of this action, including reasonable attorneys' and experts' fees; and H. Granting such other and further equitable relief as this Court may deem just and proper. DEMAND FOR JURY TRIAL Pursuant to Maryland Rule 2-325(a), Plaintiff hereby demands a trial by jury on all issues so triable. DATED: June 14, 2018 GOLDMAN & MINTON, P.C. --n?Y=Yd 4 r~LJL-- Thomas J. Minton 3600 Clipper Mill Road Suite 201 Baltimore, MD 21211 Tel.: (410) 783-7575 Fax: (410) 783-1711 MONTEVERDE & ASSOCIATES PC Juan E. Monteverde Liaison Counsel for Plaintiff Miles D. Schreiner The Empire State Building 350 Fifth Avenue, Suite 4405 New York, NY 10118 Tel: (212) 971-1341 Fax: (212) 202-7880 Email: jmonteverde@monteverdelaw.com mschreiner@monteverdelaw.com Counsel for Plaintiff 31


 
IN THE CIRCUIT COURT FOR_M_o_n_,tg=-o_m_ery_._C_o_un-'ty'--__,,.,,.,.---,.;--,-,---------­ ity or County) CIVIL - NON-DOMESTIC CASE INFORMATION REPORT DIRECTIONS Plaintiff: This Information Report must be completed and attached to the complaint filed with the Clerk of Court unless your case is exempted from the requirement by the Chief Judge of the Court of Appeals pursuant to Rule 2-11 l(a). Defendant: You must file an Information Report as required by Rule 2-323(h). THIS INFORMATION REPORT CANNOT BE ACCEPTED AS A PLEADING FORM FILED BY: iJPLAINTIFF ODEFENDANT CASE NUMBER l '-'""'to msert) CASE NAME: Walter Penchuk vs. CYS Investments, Inc., et al. Plamtifl verendant PARTY'S NAME: Walter Penchuk PHONE: PARTY'S ADDRESS: 2912 Sweet Brair Street, Grapevine, Texas 76051 PARTY'S E-MAIL: If represented by an attorney: PARTY'S ATTORNEY'S NAME: Thomas J. Minton PHONE: 410-783-7575 PARTY'S ATTORNEY'S ADDRESS:3600 Clipper Mill Road, Suite 201, Baltimore, Maryland 21211 PARTY'S ATTORNEY'S E-MAIL: tminton@channcitylegal.com JURY DEMAND? lilYes ONo RELATED CASE PENDING? 0Yes liJNo If yes, Case #(s), if known· ANTICIPATED LENGTH OF TRIAL?: hours ~days PLEADING TYPE New Case: IRJOriginal 0 Administrative Appeal 0 Appeal Existing Case: 0Post-Judgment 0Amendment (ffilinf;! in an existin2 case, skip Case Category/ Subcategory section - go to Relief section. IF NEW CASE: CASE CATEGORY/SUBCATEGORY (Check one box.) TORTS 0 Government PUBLIC LAW 0 Constructive Trust 8Asbestos BInsurance 0 Attorney Grievance 0 Contempt iJ Assault and Battery Product Liability 0Bond Forfeiture Remission 0 Deposition Notice 0 ~~~~j~!:d Commercial PROPERTY . 0 Civil Rights 0 Dist Ct Mtn Appeal O Conversion 0 Adverse Possession 0 County/Mncpl Code/Ord 0 Financial ODefamation gBre!l-Ch of Lease OElection Law 0 Grand Jury/Petit Jury O al · Detmue n:minent Domain/Condemn. 0 Miscellaneous F se Arrest/Imprisonment 0 Distress/Distrain O Environment 0 Perpetuate Testimony/Evidence 0Fraud . OEjectm. ent O OLead Pamt- DOB of OForcible Entry/Detainer OError Coram Nobis Prod. of Documents Req. Youngest Plt: OForeclosure 0 Habeas Corpus 0 Receivership 0 Loss of Consortium 0 Commercial 0 Mandamus O0 sSenten.ce t A d Transfer D d 0 Malicious Prosecution 0 Residential 0 Pris~ner Rights O s~eci!l Ad~.e- Atty 0 Malpractice-Medical 0 Currency or Vehicle 0 Pubhc Info. Act Records 0 Subpoena Issue/Quash 0 Malpractice-Professional 0 Deed of Trust 0 Quarantine/Isolation 0 Trust Established 0 Misrepresentation 0 Land Installments 0 Writ of Certiorari 0 Trustee Substitution/Removal 0 Motor Tort 0 Lien EMPLOYMENT 0 Witness Appearance-Compel 0Ne~ligence 0Mortgage PEACE ORDER ONmsance ORight of Redemption 0 ADA 0 Peace Order 0 Premises Liability 0 Statement Condo 0 Conspiracy 0 Product Liability 0 Forfeiture ofProperty I 0 EEO/HR EQUITY 0 $pecific Perfonnance Personal Item 0 FLSA 0 Declaratory Judgment Toxic Tort 0 Fraudulent Conveyance 0 FMLA 0 Equitable Relief Trespass 0 Landlord-Tenant 0 Workers' Compensation 0 Injunctive Relief §Wrongful Death O Lis Pendens O . . 0 Mandamus CONTRACT 0 Mechanic's Lien Wrongful Termmat1on OTHER O Asbestos 0 Ownership INDEPENDENT 0 Accounting 0Bre~ch. . 0Par:titioxy'Sale in Lieu PROCEEDINGS OFriendly Suit 0 BCusiness dand Commercial 0 Quiet Title 0 Assumption of Jurisdiction 0 Granter in Possession 0 ontesse Judgment 0 Rent Escrow 0 · 0 · · · · (Cont'd) O Return of Seized Property Authonzed Sal~ M~ryland Insurance Admmistration 0 Construction 0 Right of Redemption 0 Attorney Appomtment 0 Misc~llaneous . 0 Debt 0 Tenant Holding Over 0 Body Attachment Issuance 0 Specific Transaction 0 Fraud 0 Commission Issuance 0 Structured Settlements CC-DCM-002 (Rev. 04/2017) Page 1 of3


 
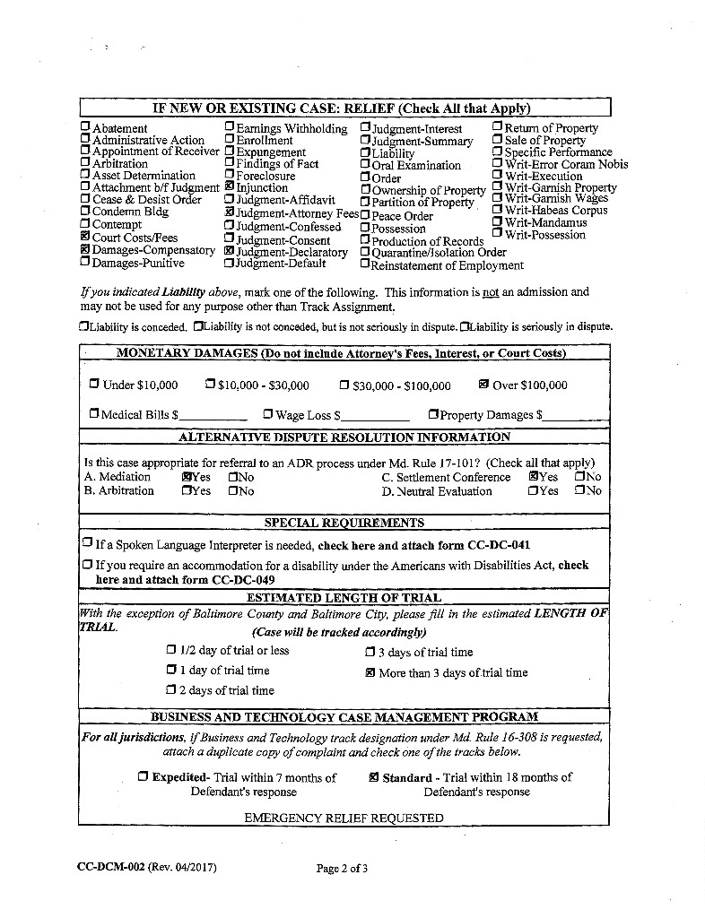
IF NEW OR EXISTING CASE: RELIEF (Check All that Apply) 0 Abatement DEamings Withholding DJudgment-Interest DReturn of Property 0 Administrative Action 0 Enrollment 0 Judgment-Summary 0 Sale of Property 0 Appointment of Receiver 0 Expungement 0 Liability 0 Specific Performance DArbitration DFindings of Fact Doral Examination DWrit-Error Coram Nobis 0 Asset Determination 0 Foreclosure 0 Order 0 Writ-Execution 0 Attachment b/f Judgment Iii Injunction Oownership of Property 0 Wtjt-Gam!sh Property 0 Cease & Desist Order 0 Judgment-Affidavit OPartition of Property 0 Wi:t-Gam1sh Wages 0 Condemn Bldg lilJudgment-Attomey FeesOPeace Order · 0 Wi:t-Habeas Corpus 0 0 Contempt OJudgment-Confessed DPossession 0 ~i:t-i;'1an~us IRl Court Costs/Fees 0 Judgment-Consent DProduction of Records nt- ossession IRl Damages-Compensatory Iii Judgment-Declaratory 0 Quarantine/Isolation Order DDamages-Punitive OJudgment-Default DReinstatement of Employment Ifyou indicated Liability above, mark one of the following. This information is .!ill! an admission and may not be used for any purpose other than Track Assignment DLiability is conceded. OLiability is not conceded, but is not seriously in dispute. OLiability is seriously in dispute. MONETARY DAMAGES mo not include Attorney's Fees, Interest, or Court Costs) 0 Under $10,000 0 $10,000 - $30,000 0 $30,000 - $100,000 ~ Over $100,000 0 Medical Bills $ DWage Loss$ 0 Property Damages $ ALTERNATIVE DISPUTE RESOLUTION INFORMATION Is this case appropriate for referral to an ADR process under Md. Rule 17-101? (Check all that apply) A. Mediation IJDYes ONo C. Settlement Conference lRlYes ONo B. Arbitration oYes ONo D. Neutral Evaluation DYes ONo SPECIAL REQUIREMENTS 0 If a Spoken Language Interpreter is needed, check here and attach form CC-DC-041 0 If you require an accommodation for a disability under the Americans with Disabilities Act, check here and attach form CC-DC-049 ESTIMATED LENGTH OF TRIAL With the exception of Baltimore County and Baltimore City, please fill in the estimated LENGTH OF TRIAL. (Case will be tracked accordingly) 0 1/2 day of trial or less 0 3 days of trial time 0 1 day of trial time !RI More than 3 days of trial time 0 2 days of trial time BUSINESS AND TECHNOLOGY CASE MANAGEMENT PROGRAM For all jurisdictions, if Business and Technology track designation under Md. Rule 16-308 is requested, attach a duplicate copy ofcomplaint and check one ofthe tracks below. 0 Expedited- Trial within 7 months of IRl Standard - Trial within 18 months of Defendant's response Defendant's response EMERGENCY RELIEF REQUESTED CC-DCM-002 (Rev. 04/2017) Page 2 of3


 
COMPLEX SCIENCE AND/OR TECHNOLOGICAL CASE MANAGEMENT PROGRAM (ASTAR) FOR PURPOSES OF POSSIBLE SPECIAL ASSIGNMENT TO ASTAR RESOURCES JUDGES under Md Rule 16-302, attach a duplicate copy ofcomplaint and check whether assignment to an ASTAR is requested 0 Expedited - Trial within 7 months of 0 Standard - Trial within 18 months of Defendant's response Defendant's response IF YOU ARE FILING YOUR COMPLAINT IN BALTIMORE CITY, OR BALTIMORE COUNTY, !PLEASE FILL OUT THE APPROPRIATE BOX BELOW. CIRCUIT COURT FOR BALTIMORE CITY (CHECK ONLY ONE) D Expedited Trial 60 to 120 days from notice. Non-jury matters. D Civil-Short Trial 210 days from first answer. D Civil-Standard Trial 360 days from first answer. D Custom Scheduling order entered by individual judge. D Asbestos Special scheduling order. D Lead Paint Fill in: Birth Date of youngest plaintiff D Tax Sale Foreclosures Special scheduling order. D Mortgage Foreclosures No scheduling order. CIRCUIT COURT FOR BALTIM ORE COUNTY . 0 Expedited Attachment Before Judgment, Declaratory Judgment (Simple), (Trial Date-90 days) Administrative Appeals, District Court Appeals and Jury Trial Prayers, Guardianship, Injunction, Mandamus. 0 Standard Condemnation, Confessed Judgments (Vacated), Contract, Employment (Trial Date-240 days) Related Cases, Fraud and Misrepresentation, International Tort, Motor Tort, Other Personal Injury, Workers' Compensation Cases. 0 Extended Standard Asbestos, Lender Liability, Professional Malpractice, Serious Motor Tort or (Trial Date-345 days) Personal Injury Cases (medical expenses and wage loss of $100,000, expert and out-of-state witnesses (parties), and trial of five or more days), State Insolvency. 0 Complex Class Actions, Designated Toxic Tort, Major Construction Contracts, Major (Trial Date-450 days) Product Liabilities, Other Complex Cases. 6/14/18 ate 3600 Clipper Mill Road, Suite 201 Address Thomas J. Minton Printed Name Baltimore MD 21211 City State Zip Code CC-DCM-002 (Rev. 04/2017) Page 3 of3